Отримати консультацію
Телефонуйте: +38 067 364 63 17 +38 099 062 70 17 Пишіть: nasos221@gmail.com
Телефонуйте: +38 067 364 63 17 +38 099 062 70 17 Пишіть: nasos221@gmail.com
Даний товар сертифікований.
Глибинний Насос 4SS 4 може забезпечувати високу продуктивність. Насос можна встановлювати як вертикально, так і горизонтально в спеціальном у кож усі.
Це високопотужний агрегат, який призначений для безперебійного водопостачання чистою водою заміських будинків і дач, індивідуальних котеджів, подачі води на різні ділянки, для різного роду господарських потреб.
Насос, як правило, має досить компактні розміри, що дозволяє використовувати пристрій у вузькі колодязі на велику глибину. Це необхідно для організації постачання чистою водою в найбільш посушливих районах, де залягання грунтових вод важкодоступно.

|
Двигун |
|
Двигун |
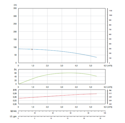
m³/h |
0 |
1,2 |
1,8 |
2,7 |
3,0 |
3,6 |
4,2 |
4,8 |
5,4 |
|
|
kW |
HP |
l/min |
0 |
20 |
30 |
45 |
50 |
60 |
70 |
80 |
90 |
||
|
4SS 4/14m |
14 |
1,1 |
1,5 |
m |
89 |
86 |
83 |
76 |
73 |
66 |
58 |
47 |
35 |