Глибинний насосний агрегат 4SS 6/49m

Виробник: NEP
Модель: 4SS 6/49m
0 грн.

  • Наявність: На складі


Отримати консультацію

Отримати консультацію

Телефонуйте: +38 067 364 63 17 +38 099 062 70 17 Пишіть: nasos221@gmail.com

Сертифікований товар

Сертифікований товар

Даний товар сертифікований.

 

ТЕХНІЧНІ ДАНІ НАСОСУ 4SS 6/49m

 

 

 

 

Призначення

- Багатоступінчасті занурювальні насоси для колодязів на 4".

Високий гідравлічний ККД та висока корозійна стійкість, завдяки конструкції з нержавіючої сталі та полімерів.

Приєднання

- Напірна головка насоса з різьбленням 2". Неповоротний клапан вбудований у напірний патрубок

- Фланець підключення до двигуна відповідає стандарту NEMA

Характеристика робочого середовища

максимальна температура перекачуваної води

- не більше 40 ºС при шв. потоку 0,5м/с.

максимальний вміст піску у перекачуваній воді

- не більше 150 г/м3

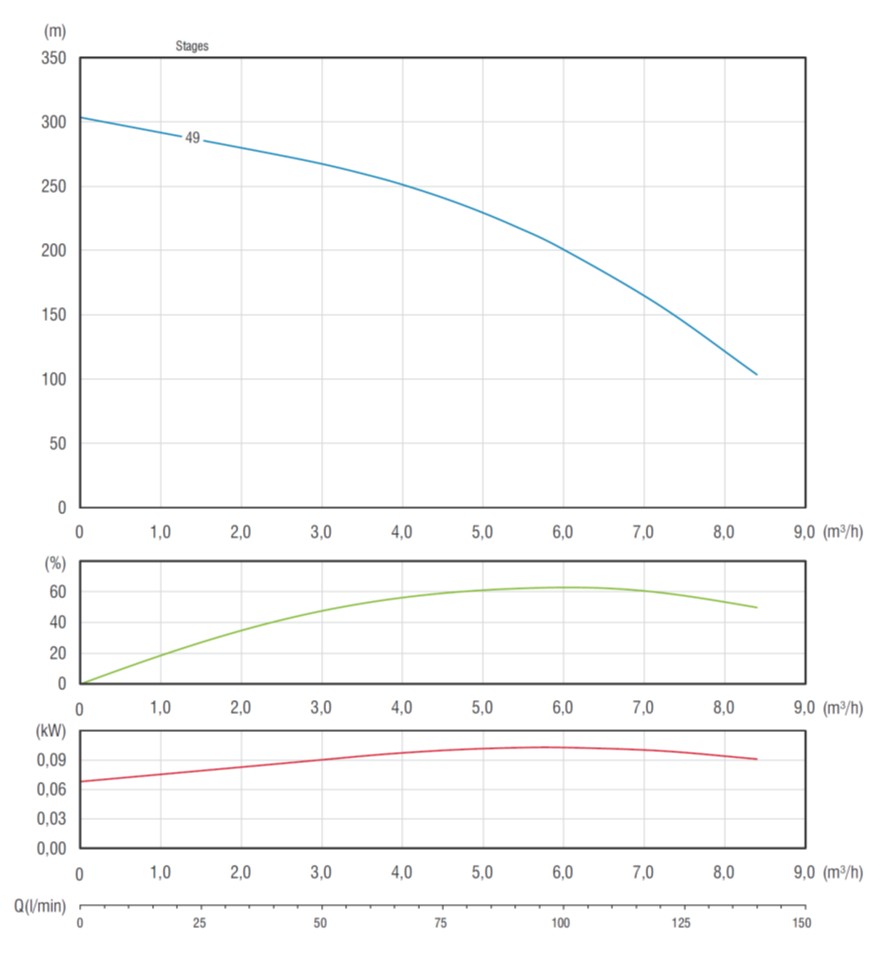
Діапазон робочих параметрів

продуктивність

2,7 – 8,4 м3/год.

напір

302 – 102 м.вод.ст.

Матеріали виконання

Вхідні та нагнітальні корпуси, клапан

- Cталь AISI 304

робоче колесо

- Норил

дифузор

- ПК, 20% армований скловолокном

вал

- Cталь AISI 420

компенсаційні кільця

- NBR

вхідний сітчастий фільтр

- Cталь AISI 304

захисна пластина для захисту кабелю ел.живлення

- Cталь AISI 304

 

 

ТЕХНІЧНІ ДАНІ ДВИГУНА  4” 5,5kW

 

 

 

 

 

 

 

 

 

 

Призначення

Асинхронний електродвигун для занурюваних насосів 4”

Приєднання

- Фланець підключення двигуна відповідає стандарту NEMA

Загальні відомості та будова

Двигун побудований у наступному виконанні:

Гільза двигуна виготовлена з AISI 304,

Верхня/нижня опора виготовлені з AISI 304.

Двигун заповнений сумішшю води та гліколю, що гарантує охолодження та змащення блоку тяги.

Компенсація тиску відбувається через гумову мембрану, розташовану знизу, і компенсаційний клапан у верхній частині.

Ущільнення ел. двигуна – механічне торцеве ущільнення.

Клас захисту – IP 68

Клас ізоляції - В

Живлення –  3 x 380-400V /50 Hz

Вивід кабелю живленння – 3х1.5+1.5 Н07 RNF

Робочі параметри

Потужність

Напруга

Струм A

Ефективність

%

COS ф

Шв.об.

к.с.

кВт

V

100%

100%

100%

об/хв.

7,5

5,5

380

12,7

79

0,84

2850

 

Габаритні розміри

 

 

Розміри (мм.)

Вага (кг.)

ØP

L

LP

LM

Двигун

Насос

98

2513

1858

655

22,5

17,7

Приєднання

2”

 

 

 

Модель

Двигун

Н(м)

Q м3/год

кВт

об/хв.

0

2,7

3,6

4,2

4,8

5,4

6,0

7,2

8,4

4SS 6/49m

5,5

2850

302

270

257

246

233

217

199

155

102

 

 

 

 

 

Гідраавлічна характеристика

 

 

 

Написати відгук

Увага: HTML не підтримується!
    Погано           Добре