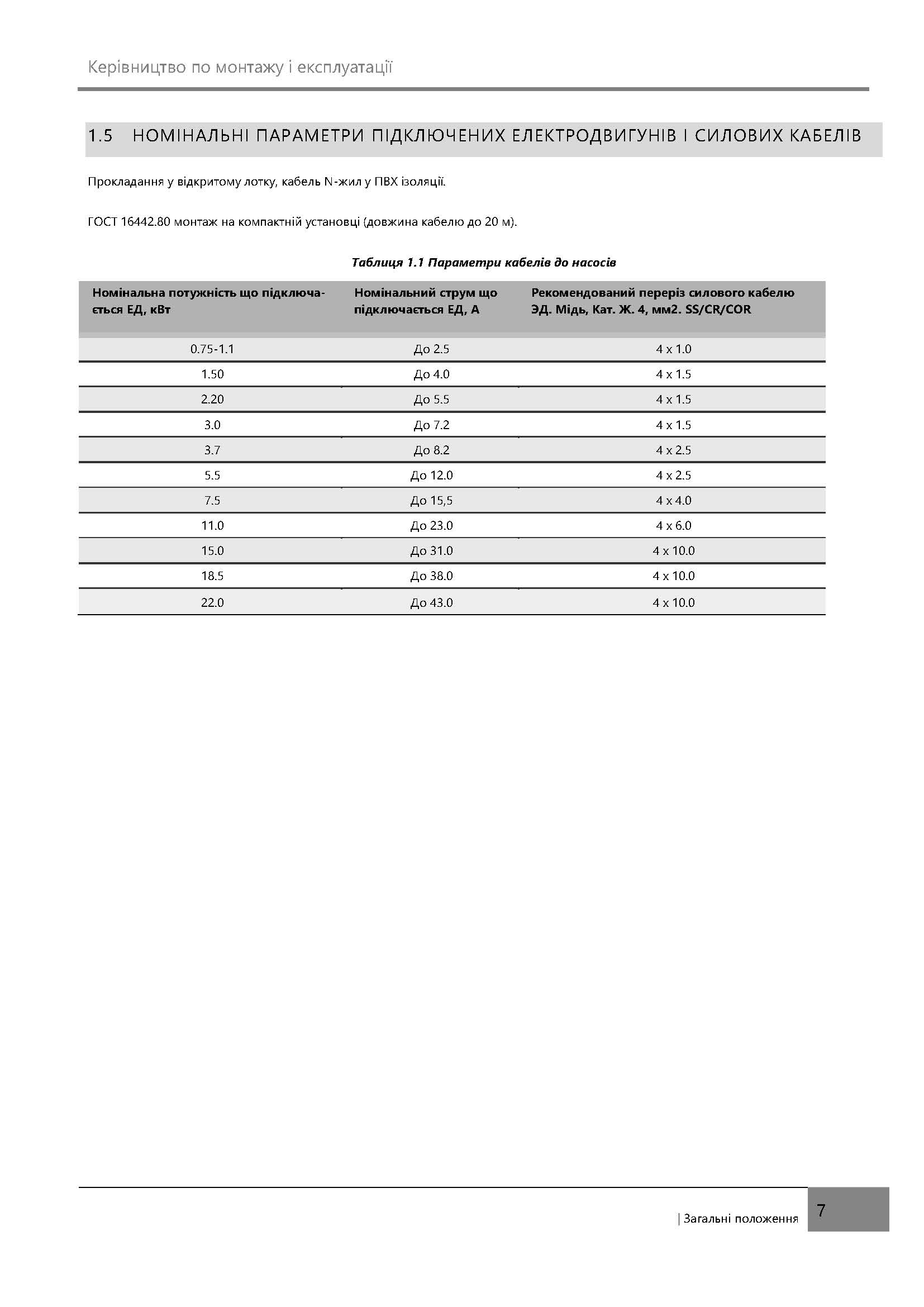
Прилад автоматичного управління насосами підвищення тиску NP-VRA-SYSTEM 0,75…110,0

Виробник: NEP
Модель: NP-VRA-SYSTEM 0,75…110,0
Прилад автоматичного управління насосами підвищення тиску NP-VRA-SYSTEM 0,75…110,0
0 грн.

  • Наявність: На складі


Отримати консультацію

Отримати консультацію

Телефонуйте: +38 067 364 63 17 +38 099 062 70 17 Пишіть: nasos221@gmail.com

Сертифікований товар

Сертифікований товар

Даний товар сертифікований.

 

Написати відгук

Увага: HTML не підтримується!
    Погано           Добре